1991 - 트리 순회
📌 문제
이진 트리를 입력받아 전위 순회(preorder traversal), 중위 순회(inorder traversal), 후위 순회(postorder traversal)한 결과를 출력하는 프로그램을 작성하시오.
이진 트리를 입력받아 전위 순회(preorder traversal), 중위 순회(inorder traversal), 후위 순회(postorder traversal)한 결과를 출력하는 프로그램을 작성하시오.

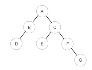
예를 들어 위와 같은 이진 트리가 입력되면,
가 된다.
def preorder(root):
if root != '.':
print(root, end='')
preorder(tree[root][0])
preorder(tree[root][1])
def inorder(root):
if root != '.':
inorder(tree[root][0])
print(root, end='')
inorder(tree[root][1])
def postorder(root):
if root != '.':
postorder(tree[root][0])
postorder(tree[root][1])
print(root, end='')
N = int(input())
tree = dict()
for i in range(N):
parent, left, right = map(str, input().split())
tree[parent] = [left, right]
preorder('A')
print()
inorder('A')
print()
postorder('A')
같은 재귀함수에서 출력하는 위치만 다르게 해줬다.
1991번: 트리 순회
첫째 줄에는 이진 트리의 노드의 개수 N(1≤N≤26)이 주어진다. 둘째 줄부터 N개의 줄에 걸쳐 각 노드와 그의 왼쪽 자식 노드, 오른쪽 자식 노드가 주어진다. 노드의 이름은 A부터 차례대로 영문자
www.acmicpc.net
| [프로그래머스/Programmers] 프린터 (0) | 2021.05.04 |
|---|---|
| [프로그래머스/Programmers] 기능개발 (0) | 2021.05.04 |
| [백준/BOJ] 18405 - 경쟁적 전염 (0) | 2021.04.23 |
| [백준/BOJ] 2661 - 좋은수열 (0) | 2021.04.22 |
| [프로그래머스/Programmers] 정수 삼각형 (0) | 2021.04.16 |